Home
Favorites
My Account
Menu
Common Core Sheets
Matemáticas
Ortografía
crear-una-reseña
crear-una-prueba
crear-una-hoja
mejorando un párrafo
acceso
x
Panel de profesores
>
Mi cuenta
Tareas de educación a distancia
Mi Clase
Opciones
Matemáticas
>
Creador de tareas
Suma
Resta
Multiplicación
División
Álgebra
Ángulos
Área y perímetro
Equilibrar las ecuaciones
Gráficos de barras
Diagrama de caja
Capacidad
Convirtiendo formas
Contando
Decimales
División
Ejercicios de matemáticas
Familias de factores
Factores
Fracciones
Cuadriculas
Líneas
Diagrama de puntos
Media, mediana, moda y rango
Medición
Dinero
Multiplicación
Problemas multipasos
Números negativos
Orden de operaciones
Patrones y máquinas de función
Porcentaje
Probabilidad
Propiedades
Relaciones
Redondeo
Formas
Estadística
Resta
Cuenta
Temperatura
Tiempo
Valor y valor posicional
Variables
Peso
Volumen
Ejercicios de matemáticas
Panel de profesores
>
Mi cuenta
Tareas de educación a distancia
Mi Clase
Opciones
Lenguaje
>
spanish
german
russian
italian
vietnamese
french
english
ayudar a apoyar el sitio
>
Patreon
Paypal
Otras cosas
>
Cómo utilizar las hojas
Comentarios
Home
Hojas de trabajo de matemáticas
Ejercicios de fracciones
Multiplicar fracciones por números enteros
Like
Playwire Anuncio
Multiplicar fracciones por números enteros
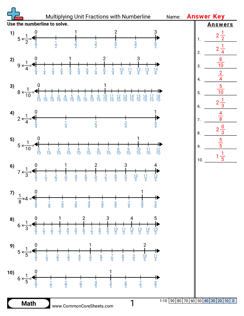
Cada hoja contiene 20 problemas de multiplicación de una fracción por un número entero.
Worksheet
Uno a la vez
tarjetas flash
Educación a distancia
Crear nueva hoja
Tags
numérico
horizontal
fracciones
ejercicios
multiplicación
Standards
4nf4a
Related Worksheets
Playwire Anuncio